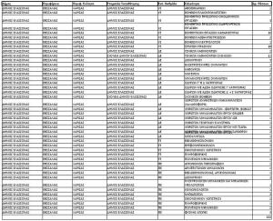
Για να δείτε αναλυτικά τις θέσεις του προγράμματος Κοινωφελούς Χαρακτήρα στο Δήμο Ελασσόνας πατήστε εδώ
Για τη σχετική δημόσια πρόσκληση βλ. στην ιστοσελίδα του ΟΑΕΔ, εδώ
Community
Για να δείτε αναλυτικά τις θέσεις του προγράμματος Κοινωφελούς Χαρακτήρα στο Δήμο Ελασσόνας πατήστε εδώ
Για τη σχετική δημόσια πρόσκληση βλ. στην ιστοσελίδα του ΟΑΕΔ, εδώ
Σχολιάστε